未分類(使用厳禁!!!!)

2026年3月27日時点のプライム、リサ

2026年3月27日時点のプライム、リサイクル、スクラッププラスチックの市場アップデートでは、中国の主要ポリマー市場ウェブサイトから収集したプライムバージンプラスチックの価格を報告しています。価格は人民元建てで、1米ドル=6.9112人民元...
原料相場

【2026年3月13日号】プラスチックリサイクル市場状況:原油100ドル目前、中東情勢の緊迫がプラスチック市場を直撃

2026年3月27日時点のプライム、リサイクル、スクラッププラスチックの市場アップデートでは、中国の主要ポリマー市場ウェブサイトから収集したプライムバージンプラスチックの価格を報告しています。価格は人民元建てで、1米ドル=6.9112人民元...
原料相場

【2026年3月13日号】プラスチックリサイクル市場状況:原油価格に相当な地政学的リスクプレミアムが織り込まれる展開に

2026年3月13日時点のプライムプラスチック、リサイクルプラスチック、スクラッププラスチックの市場アップデートでは、中国の主要ポリマー市場ウェブサイトから収集したプライムバージンプラスチックの価格を報告しています。価格は人民元建てで、1米...
原料相場

【2026年2月27日号】プラスチックリサイクル市場状況:原油WTIが67ドル突破。軍事行動によるエネルギー価格高騰と樹脂市場の行方

2026年2月27日時点のバージン材、再生材、およびスクラッププラスチックに関する最新の市場動向レポートをお届けします。本レポートにおける中国のバージン材価格は、主要なポリマー関連ウェブサイトに基づき、為替レート1米ドル=6.8621人民元...
原料相場

【2026年1月30日号】プラスチックリサイクル市場状況:原油高を背景に中国バージン樹脂は続伸、再生材はスプレッド縮小に苦戦

プラスチックリサイクル市場状況(2026年1月30日時点)本レポートは、2026年1月30日時点のバージン、再生樹脂、およびスクラッププラスチックの市場動向をまとめたものです。バージン樹脂価格は中国の主要ポリマーウェブサイトの引用に基づいて...
押出機コラム

二軸押出機とは?仕組み・用途・単軸との違い・選び方を徹底解説

二軸押出機とは樹脂加工において「二軸押出機」は、混練・分散・反応押出といった高度な処理を可能にする中核設備です。単軸押出機では対応が難しい複雑な材料やリサイクル用途にも強みを発揮し、品質安定・効率化・コスト削減に直結します。この記事では、設...
押出機コラム

【2026年最新】押出機メーカー比較・選び方ガイド|国内・海外の主要企業と選定ポイント

押出機メーカーの選び方完全ガイド押出機を購入してペレット加工ビジネスを始めようか、、、「でも、自社がやろうとしているビジネスに適した押出機はどう選べばいいのかな、、、」「海外製でも大丈夫なのだろうか、、、」などの不安は尽きません。押出機メー...
破砕機・粉砕機コラム

破砕機の種類・選び方・導入メリットを徹底解説【樹脂加工・リサイクル向け】

樹脂加工・リサイクルに最適な破砕機を選ぶための完全ガイドフィルム・成形品・ランナー・難処理材まで、最適な破砕機の選び方と最新技術を徹底解説します。🔍 破砕機とは?|粉砕機・裁断機との違い破砕機は単なる「壊す機械」ではなく、次工程(成形・ペレ...
押出機コラム

【図解】押出機スクリューの基礎から最新トレンドまで徹底解説!種類・選定・トラブル対策

押出成形の成否は「スクリュー」で決まる押出機において、スクリューは単なる部品の一つではありません。人間で言えば「心臓」であり「脳」でもある最重要コンポーネントです。樹脂を搬送し、溶かし、混ぜ、圧力をかけてダイへと送り出す——この一連のプロセ...
押出機コラム

【完全ガイド】中古押出機の選び方|価格相場から失敗しないチェックポイントまで解説

製造現場において、生産能力の増強や新規プロジェクトの立ち上げ時、最大のネックとなるのが「設備の導入コスト」と「納期」です。特に2024年以降、世界的な部材不足や物流コストの上昇により、新品押出機の納期は1年を超えることも珍しくありません。こ...
破砕機・粉砕機コラム

【完全ガイド】プラスチック粉砕機の選び方と全種類|仕組み・価格・メーカーからトラブル対策まで徹底解説

プラスチック成形工場や廃棄物処理の現場において、「廃棄コストの削減」や「環境対応(SDGs)」は、企業の利益とブランド価値を左右する重大な課題です。その解決策の入り口(前処理)として、中心的な役割を果たすのが「プラスチック粉砕機」です。しか...
押出機コラム

【完全版】プラスチックリサイクル用押出機の価格相場を完全網羅!新品・中古・メーカー別の費用対効果まで徹底解説

1. 押出機の価格が気になる理由(導入)プラスチックリサイクル事業を検討する際、最初に直面するのが「設備投資の大きさ」です。破砕機・洗浄機・乾燥機・押出機・ペレタイザーなど、多くの設備が必要ですが、その中でも押出機はラインの中核を担う最重要...
押出機コラム

【完全ガイド】台湾製プラスチックリサイクル押出機メーカー徹底比較|コスパ最強の選び方と導入事例

はじめに:なぜ今「台湾 押出機 メーカー」が注目されているのか世界的なSDGs推進、ESG経営の浸透、バーゼル条約改正による廃プラスチック輸出規制の強化により、日本国内でのプラスチックリサイクルは“待ったなし”の状況になっています。製造現場...
押出機コラム

押出機の完全ガイド|仕組み・種類・選定のポイントとトラブル対策

樹脂加工の現場において、押出機(Extruder)は単なる「成形機」の一種にとどまりません。材料の混練、改質、リサイクル、そして高付加価値製品の連続生産を支える、いわば「工場の心臓」です。プラスチック業界は大きな転換期にあります。廃プラスチ...
原料相場

再生樹脂ペレット 価格情報 2026/1/2

2026年1月2日時点の市場アップデートをお届けします。新年を迎えましたが、プラスチック市場、特にリサイクル業界にとっては「サバイバル」の様相を呈する厳しいスタートとなりました。バージン材の歴史的な安値と構造的な供給過剰が、リサイクル材の経...
プラスチックリサイクル

プラスチックリサイクル業界:2025年の総括と2026年の展望

2025年は、世界のプラスチックリサイクル業界にとって「概念の構築」を終え、「社会実装と経済圏の確立」へと移行した転換点となりました。世界的な法規制の具体化、ケミカルリサイクルの商用化、そして日本国内での資源循環モデルの定着が重なり、業界は...
原料相場

再生樹脂ペレット 価格情報 2025/12/19

2025年12月19日時点のプライムプラスチック、リサイクルプラスチック、スクラッププラスチックの市場動向主要なバージンポリマーのウェブサイトから得たプライムバージン価格を米ドルで掲載しています。為替レートは 1 米ドル = 7.0411 ...
原料相場

再生樹脂ペレット 価格情報 2025/12/5

2025年12月5日時点のプライムプラスチック、リサイクルプラスチック、スクラッププラスチックの市場動向主要なバージンポリマーのウェブサイトから得たプライムバージン価格を米ドルで掲載しています。為替レートは 1 米ドル = 7.0711 人...
原料相場

再生樹脂ペレット 価格情報 2025/11/21

2025年11月21日時点のプライムプラスチック、リサイクルプラスチック、スクラッププラスチックの市場動向主要なバージンポリマーのウェブサイトから得たプライムバージン価格を米ドルで掲載しています。為替レートは 1 米ドル = 7.1052 ...
原料相場

再生樹脂ペレット 価格情報 2025/11/7

2025年11月7日時点のプライムプラスチック、リサイクルプラスチック、スクラッププラスチックの市場動向主要なバージンポリマーのウェブサイトから得たプライムバージン価格を米ドルで掲載しています。為替レートは 1 米ドル = 7.1223 人...
原料相場

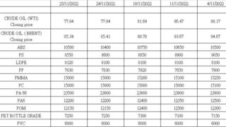
再生樹脂ペレット 価格情報 2025/10/24

2025年10月24日時点のバージン、リサイクル、およびスクラッププラスチック市場アップデートをお届けします。本レポートにおけるバージン材価格は、中国の主要ポリマーウェブサイトから引用し、人民元(RMB)建て(VAT込み)です。為替レートは...
原料相場

再生樹脂ペレット 価格情報 2025/10/10

2025年10月11日時点のバージン、リサイクル、およびスクラッププラスチックに関する市場アップデートをお届けします。本レポートにおける中国のバージン材価格は、主要ポリマーウェブサイトから引用した人民元(RMB)建て(VAT込み)であり、為...
原料相場

再生樹脂ペレット 価格情報 2025/9/12

2025年9月12日現在のプライム、リサイクル、スクラッププラスチックの市場更新情報です。プライムバージン価格は、中国の主要なバージンポリマー・ウェブサイトから取得人民元(RMB)表示、消費税込み、為替レートは1米ドル=7.1248中国元。...
原料相場

再生樹脂ペレット 価格情報 2025/8/29

2025年8月29日現在のプライム、リサイクル、スクラッププラスチックの市場更新情報です。プライムバージン価格は、中国の主要なバージンポリマー・ウェブサイトから取得人民元(RMB)表示、消費税込み、為替レートは1米ドル=7.1307中国円。...
原料相場

再生樹脂ペレット 価格情報 2025/8/15

2025年8月15日現在のプライム、リサイクル、スクラッププラスチックの市場更新情報です。プライムバージン価格は、中国の主要なバージンポリマー・ウェブサイトから取得人民元(RMB)表示、消費税込み、為替レートは1米ドル=7.1933中国円。...
原料相場

再生樹脂ペレット 価格情報 2025/8/1

2025年8月1日現在のプライム、リサイクル、スクラッププラスチックの市場更新情報です。プライムバージン価格は、中国の主要なバージンポリマー・ウェブサイトから取得人民元(RMB)表示、消費税込み、為替レートは1米ドル=7.1933中国円。原...
原料相場

再生樹脂ペレット 価格情報 2025/6/6

2025年6月6日現在のプライム、リサイクル、スクラッププラスチックの市場更新情報です。プライムバージン価格は、中国の主要なバージンポリマー・ウェブサイトから取得人民元(RMB)表示、消費税込み、為替レートは1米ドル=7.1926中国円。2...
原料相場

再生樹脂ペレット 価格情報 2025/5/23

2025年5月23日現在のプライム、リサイクル、スクラッププラスチックの市場更新情報です。プライムバージン価格は、中国の主要なバージンポリマー・ウェブサイトから取得人民元(RMB)表示、消費税込み、為替レートは1米ドル=7.1810中国円。...
排水処理

PFAS(有機フッ素化合物)とは?人体への影響や除去方法を解説

自治体や水道事業者の方へ、PFASを除去する排水処理設備を紹介します!PFASは発がん性など人体への影響が疑われるとして、近年話題となっています。本記事で紹介するPFASの除去方法やPFASが問題となった事例をもとに対策をとりましょう。
原料相場

再生樹脂ペレット 価格情報 2025/5/9

2025年5月9日現在のプライム、リサイクル、スクラッププラスチックの市場更新情報ですプライムバージン価格は、中国の主要なバージンポリマー・ウェブサイトから取得人民元(RMB)表示、消費税込み、為替レートは1米ドル=7.2382中国円。20...
原料相場

再生樹脂ペレット 価格情報 2025/4/25

2025年4月25日現在のプライム、リサイクル、スクラッププラスチックの市場更新情報です。プライムバージン価格は、中国の主要なバージンポリマー・ウェブサイトから取得人民元(RMB)表示、消費税込み、為替レートは1米ドル=7.2868中国円。...
原料相場

再生樹脂ペレット 価格情報 2025/4/11

2025年4月11日現在のプライム、リサイクル、スクラッププラスチックの市場更新情報です。プライムバージン価格は、中国の主要なバージンポリマー・ウェブサイトから取得人民元(RMB)表示、消費税込み、為替レートは1米ドル=7.2919中国円。...
原料相場

再生樹脂ペレット 価格情報 2025/3/28

2025年3月28日現在のプライム、リサイクル、スクラッププラスチックの市場更新情報です。プライムバージン価格は、中国の主要なバージンポリマー・ウェブサイトから取得人民元(RMB)表示、消費税込み、為替レートは1米ドル=7.2626中国円。...
排水処理

PFASの規制がより厳しくなる?対応が必要な事業者を解説

PFAS(有機フッ素化合物)の規制が今後さらに厳しくなる可能性があることをご存じでしょうか。PFASは水や油をはじく「撥水・撥油性」が高くフライパンなどの調理器具、食品包装、日用品などに広く使用されてきました。しかし、近年は人体や環境への悪...
プラスチックリサイクル

2024環境展に出展しました【ご来場ありがとうございました】

2024環境展に出展しました5月22日から24日まで東京ビッグサイトにて開催された環境展に出展しました。弊社からは3ブースを出展しました。①押出機のPOLYSTAR②FIMICレーザーフィルター③ドイツWIPA洗浄ライン押出機のご相談は、容...
排水処理

PFAS除去装置導入のコスト削減効果:長期的な視点で見る投資価値と ROI

PFAS除去装置の導入にあたって、コストは最大の懸念点の一つです。特に初期投資は高いと感じるかもしれませんが、長期的に見れば大きなコスト削減につながる可能性があります。この記事では、PFAS除去装置の導入による具体的なコスト削減効果や、長期...
地球環境

グリーンウォッシュとは?ESG投資の裏にある「偽りのエコ」の真相究明

グリーンウォッシュとは?「グリーンウォッシュ(Greenwash)とは、ホワイトウォッシュ(安価な塗料、転じて「ごまかす」という意味)をもじって作られた造語です。ホワイトウォッシュは、白い塗料でごまかしますが、環境配慮(グリーン)でごまかす...
原料相場

再生樹脂ペレット 価格情報 2025/3/14

2025年3月14日現在のプライム、リサイクル、スクラッププラスチックの市場更新情報です。プライムバージン価格は、中国の主要なバージンポリマー・ウェブサイトから取得人民元(RMB)表示、消費税込み、為替レートは1米ドル=7.2374中国円。...
原料相場

再生樹脂ペレット 価格情報 2025/2/28

2025年2月28日現在のプライム、リサイクル、スクラッププラスチックの市場更新情報です。プライムバージン価格は、中国の主要なバージンポリマー・ウェブサイトから取得人民元(RMB)表示、消費税込み、為替レートは1米ドル=7.2784中国円。...
原料相場

再生樹脂ペレット 価格情報 2025/2/14

2025年2月14日現在のプライム、リサイクル、スクラッププラスチックの市場更新情報です。プライムバージン価格は、中国の主要なバージンポリマー・ウェブサイトから取得人民元(RMB)表示、消費税込み、為替レートは1米ドル=7.2572中国円。...
原料相場

再生樹脂ペレット 価格情報 2025/1/17

2025年1月17日現在のプライム、リサイクル、スクラッププラスチックの市場更新情報です。プライムバージン価格は、中国の主要なバージンポリマー・ウェブサイトから取得人民元(RMB)表示、消費税込み、為替レートは1米ドル=7.3252中国円。...
原料相場

再生樹脂ペレット 価格情報 2025/1/3

2025年1月3日現在のプライム、リサイクル、スクラッププラスチックの市場更新情報です。プライムバージン価格は、中国の主要なバージンポリマー・ウェブサイトから取得人民元(RMB)表示、消費税込み、為替レートは1米ドル=7.3215中国円。ニ...
原料相場

再生樹脂ペレット 価格情報 2024/12/20

2024年12月20日現在のプライム、リサイクル、スクラッププラスチックの市場更新情報です。プライムバージン価格は、中国の主要なバージンポリマー・ウェブサイトから取得人民元(RMB)表示、消費税込み、為替レートは1米ドル=7.1845中国円...
原料相場

再生樹脂ペレット価格情報2024/12/6

2024年12月6日現在のプライム、リサイクル、スクラッププラスチックの市場更新情報です。プライムバージン価格は、中国の主要なバージンポリマー・ウェブサイトから取得人民元(RMB)表示、消費税込み、為替レートは1米ドル=7.1845中国円。...
原料相場

再生樹脂ペレット 価格情報 2024/11/8

2024年11月8日現在のプライム、リサイクル、スクラッププラスチックの市場更新情報です。プライムバージン価格は、中国の主要なバージンポリマー・ウェブサイトから取得人民元(RMB)表示、消費税込み、為替レートは1米ドル=7.1845中国円。...
原料相場

再生樹脂ペレット 価格情報 2024/10/25

2024年10月25日現在のプライム、リサイクル、スクラッププラスチックの市場更新情報です。プライムバージン価格は、中国の主要なバージンポリマー・ウェブサイトから取得人民元(RMB)表示、消費税込み、為替レートは1米ドル=7.178中国円。...
排水処理

PFAS汚染に立ち向かう:最新高性能フィルターシステムの驚くべき除去効果と実績

「高性能フィルターシステムで本当にPFASを除去できるのか」「PFAS除去の実績ってどれくらい信頼できるのか」このような疑問をお持ちのは多いのではないでしょうか。実は、高性能フィルターシステムは、PFAS除去において非常に効果的であり、実績...
排水処理

PFAS規制に対応するための最適な設備選びとは?工場や自治体のためのガイド

「PFAS規制にどう対応すればいいのだろうか」「PFAS対策設備にはどのようなものがあるのか」そのような疑問をお持ちの方がこの記事をご覧になっているかと思います。PFASに関する規制に適切に対応するためには、専門的な対策設備の導入が必要です...
排水処理

PFAS対策の切り札!最新浄化技術で実現する水処理設備の5つのメリット

「PFAS浄化技術に実効性はあるのか」「PFASを効率的に除去できる水処理設備とはどのようなものか」この記事ではこの疑問にお応えする情報を提供します。この記事では、PFAS浄化技術の概要、最新の水処理設備の特徴、そして導入のメリットについて...
排水処理

PFAS除去装置の導入で水質改善!自治体と工場に求められる対策とは

「PFAS除去装置の導入に効果はあるのか?」「処理のコストはどれくらい必要なのか?」そのような課題をお持ちの方がこの記事をご覧になっているかと思います。実際に、PFAS除去装置には効果があり、長期的な水質保護と住民の健康を守るために非常に有...
原料相場

再生樹脂ペレット 価格情報 2024/10/11

2024年10月11日現在のプライム、リサイクル、スクラッププラスチックの市場更新情報です。プライムバージン価格は、中国の主要なバージンポリマー・ウェブサイトから取得人民元(RMB)表示、消費税込み、為替レートは1米ドル=7.0667中国円...
原料相場

再生樹脂ペレット 価格情報 2024/10/11 #2

2024年10月11日現在のプライム、リサイクル、スクラッププラスチックの市場更新情報です。プライムバージン価格は、中国の主要なバージンポリマー・ウェブサイトから取得人民元(RMB)表示、消費税込み、為替レートは1米ドル=7.0667中国円...
原料相場

再生樹脂ペレット 価格情報 2024/9/27

2024年9月27日現在のプライム、リサイクル、スクラッププラスチックの市場更新情報です。プライムバージン価格は、中国の主要なバージンポリマー・ウェブサイトから取得人民元(RMB)表示、消費税込み、為替レートは1米ドル=7.0110中国円。...
原料相場

再生樹脂ペレット 価格情報 2024/9/13

2024年9月13日現在のプライム、リサイクル、スクラッププラスチックの市場更新情報です。プライムバージン価格は、中国の主要なバージンポリマー・ウェブサイトから取得人民元(RMB)表示、消費税込み、為替レートは1米ドル=7.0972中国円。...
原料相場

再生樹脂ペレット 価格情報 2024/8/30

2024年8月30日現在のプライム、リサイクル、スクラッププラスチックの市場更新情報です。プライムバージン価格は、中国の主要なバージンポリマー・ウェブサイトから取得人民元(RMB)表示、消費税込み、為替レートは1米ドル=7.0913中国円。...
原料相場

再生樹脂ペレット 価格情報 2024/8/16

2024年8月16日現在のプライム、リサイクル、スクラッププラスチックの市場更新情報です。プライムバージン価格は、中国の主要なバージンポリマー・ウェブサイトから取得人民元(RMB)表示、消費税込み、為替レートは1米ドル=7.1592中国円。...
原料相場

再生樹脂ペレット 価格情報 2024/8/2

2024年8月2日現在のプライム、リサイクル、スクラッププラスチックの市場更新情報です。プライムバージン価格は、中国の主要なバージンポリマー・ウェブサイトから取得人民元(RMB)表示、消費税込み、為替レートは1米ドル=7.1694中国円。米...
原料相場

再生樹脂ペレット 価格情報 2024/7/5

2024年7月5日現在のプライム、リサイクル、スクラッププラスチックの市場更新情報です。プライムバージン価格は、中国の主要なバージンポリマー・ウェブサイトから取得人民元(RMB)表示、消費税込み、為替レートは1米ドル=7.2648中国円。原...
原料相場

再生樹脂ペレット 価格情報 2024/6/21

2024年6月21日現在のプライム、リサイクル、スクラッププラスチックの市場更新情報です。プライムバージン価格は、中国の主要なバージンポリマー・ウェブサイトから取得人民元(RMB)表示、消費税込み、為替レートは1米ドル=7.2610中国円。...
原料相場

再生樹脂ペレット 価格情報 2024/6/7

2024年6月7日現在のプライム、リサイクル、スクラッププラスチックの市場更新情報です。プライムバージン価格は、中国の主要なバージンポリマー・ウェブサイトから取得人民元(RMB)表示、消費税込み、為替レートは1米ドル=7.2477中国円。ニ...
地球環境

イオンで平飼いの卵を購入してみた!の記事へのコメント

さて、だいぶ前になりますが、「イオンで平飼いの卵を購入してみた!」なるお気楽なブログ記事を書いてアップしておりました。その記事に対しまして、養鶏場に長年お勤めの経験があるという女性の方からメッセージをいただきました。そこには、ケージ飼いされ...
原料相場

再生樹脂ペレット 価格情報 2024/5/24

2024年5月24日現在のプライム、リサイクル、スクラッププラスチックの市場更新情報です。プライムバージン価格は、中国の主要なバージンポリマー・ウェブサイトから取得人民元(RMB)表示、消費税込み、為替レートは1米ドル=7.2436中国円。...
原料相場

再生樹脂ペレット 価格情報 2024/5/10

2024年5月10日現在のプライム、リサイクル、スクラッププラスチックの市場更新情報です。プライムバージン価格は、中国の主要なバージンポリマー・ウェブサイトから取得人民元(RMB)表示、消費税込み、為替レートは1米ドル=7.2269中国円。...
原料相場

再生樹脂ペレット 価格情報 2024/4/29

2024年4月29日現在のプライム、リサイクル、スクラッププラスチックの市場更新情報です。プライムバージン価格は、中国の主要なバージンポリマー・ウェブサイトから取得人民元(RMB)表示、消費税込み、為替レートは1米ドル=7.2465中国円。...
原料相場

再生樹脂ペレット 価格情報 2024/4/12

2024年4月12日現在のプライム、リサイクル、スクラッププラスチックの市場更新情報です。プライムバージン価格は、中国の主要なバージンポリマー・ウェブサイトから取得人民元(RMB)表示、消費税込み、為替レートは1米ドル=7.23784中国円...
排水処理

排水処理のメーカー 大手も含め一覧で解説

この記事では、排水処理設備や薬品、排水処理プラントの設計や施工を取り扱う以下のメーカーを紹介しています。メーカー(売上高順)プラント設計排水処理設備薬品商品栗田工業株式会社◯◯◯オルガノ株式会社◯◯◯水ing株式会社◯◯◯株式会社神鋼環境ソ...
タイトルとURLをコピーしました