2024年6月7日現在のプライム、リサイクル、スクラッププラスチックの市場更新情報です。

プライムバージン価格は、中国の主要なバージンポリマー・ウェブサイトから取得
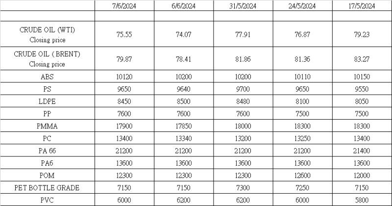
人民元(RMB)表示、消費税込み、為替レートは1米ドル=7.2477中国円。
ニューヨークでの原油価格は、ヨーロッパ中央銀行が金利を引き下げることを決定した後、木曜日に2%上昇し、1バレルあたり75.53ドルで取引を終了しました。さらに、最近のアメリカの経済データは、連邦準備制度理事会も追随する可能性があることを示唆しています。
大部分の原材料の価格は下落傾向にあり、最近の原料コストの調整、プラントメンテナンスからの供給再開、新しい生産ラインの稼働開始、および輸出貿易に影響を与える運賃の上昇によって悪影響を受けています。
季節的な低需要と中国の不動産市場の崩壊も市場心理を悪化させ在庫削減を妨げています。例えば、現在PPの在庫は73万5000トンです。さらに、PP、PC、およびPETの原料であるPTAの新しい生産が稼働し始めています。POMおよびPMMAの価格上昇に続いて、石油化学企業は価格上昇を利用するために生産能力を増強しました。夏のオフシーズンと慎重な市場心理により、状況は引き続き不安定なままです。市場参加者は取引を確定する前に、市場の方向性がより明確になるまで端午節が終わるのを待っています。
リサイクルプラスチック:
リサイクルペレットは特にベトナムなどの東南アジア諸国で高い需要があります。
多くの製造業者が、生産コストを節約し、米国およびおそらくEUへの輸出に対する反ダンピング関税を回避するために、低コスト地域に工場を移転しているためです。
米国のバイヤーは、さまざまな国に調達を分散するようアドバイスされています。
中国向けのリサイクルPEペレットは、中国主要港でトンあたり約800ドルで販売されています。しかし、他のアジア諸国では50ドルから100ドルの価格差があり、トンあたり900ドルまでで販売されています。
より多くのリサイクル業者がリサイクル材料を国内市場で販売することに注力しています。もう一つの例として、大型バッグのPPペレットは国内市場でトンあたり800ドル以上で販売できるのに対し、中国では700ドルです。PEおよびPPに加えて、PS、ABS、EVAおよびPETのリサイクル材料も、中国から移転した工場で電気製品、靴、家庭用品および包装材料に使用されています。
スクラッププラスチック:
PPおよびPEのようなスクラッププラスチックの価格は、最近の原油価格の下落に追随していません。
米国からのAグレードのPEフィルムは、FASでポンドあたり20セント以上、ヨーロッパからはCNFでトンあたり450ドル以上で取引されています。Aグレードの大型バッグは、アジアの主要港でCNFで250ドル以上です。
これらの価格は、中国向けのリサイクルペレットをターゲットにした市場には適していません。マレーシアでは、下流工程および複合工場の生産をフル稼働させるために、PSおよびABSのスクラップ材料の需要が高まっています。
しかし、リサイクル業者はバーゼル条約の廃棄物の越境移動に関する制約のため、価格交渉以前に課題を抱えています。POM、PMMA、PPAおよびPPSのようなエンジニアリングプラスチックの価格は下降傾向にあります。さらに、最近の大幅な運賃の増加が、リサイクル貿易における輸入および輸出活動に悪影響を及ぼしています。


