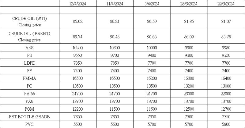
2024年4月12日現在のプライム、リサイクル、スクラッププラスチックの市場更新情報です。

プライムバージン価格は、中国の主要なバージンポリマー・ウェブサイトから取得
人民元(RMB)表示、消費税込み、為替レートは1米ドル=7.23784中国円。
ニューヨーク原油は、中東情勢の緊張により1バレル当たり85.66ドルで引けましたが、弱気の世界石油需要の伸び予測と米国利下げの鈍化に対する懸念により、週間ではマイナスを記録しました。
中国では、エネルギーコストの上昇、原料価格の上昇、石油化学施設のメンテナンス活動の活発化により、ほとんどの主要原料の価格が上昇しています。
市場の雰囲気は依然として低調であるものの、安定化の兆しも見られます。
供給の減少が価格の安定に貢献し、需要に対する供給の縮小傾向によるアンバランスは緩和しました。
ABSとPSは、エアコン、冷蔵庫、洗濯機に対する「古いものから新しいものへ」の補助金政策に後押しされて特に好調で、その結果、売上高は前月比56%、前年比25%と大幅に増加しました。
さらに、海外在庫の補充により、白物電子・電気製品の生産に使用される材料の需要が高まっています。
PEの需要は農繁期の終わりに比べて鈍化し、PPの価格は需要の低迷と過剰生産能力の影響を受けています。
しかし、エンジニアリングプラスチックは、最近の景気刺激策の恩恵を受けて、比較的好調に推移しています。
市場関係者は、中国が海外市場からの需要を刺激できない限り、最近の需要回復は長続きしないのではないかと懸念を示しています。
中国の過剰生産能力はプラスチックや鉄鋼の生産にとどまらず、電気自動車やグリーンエネルギー製品にまで広がっています。西側諸国による中国の過剰生産能力の輸出を制限する措置について、中国の製造業の間で懸念が高まっています。
リサイクルペレット、特にABS、PS、PMMA、POM、ポリカーボネートは、電化製品の需要の増加、特にコスト削減と持続可能性の促進を求める生産者によるリサイクル材料の使用に牽引されて、よく売れています。
ほとんどのリサイクル業者では、6月初旬まで注文を予約しています。リサイクル業者が直面する主な課題は、生産レベルを維持するための材料の不足です。
原料の適切な供給を確保するために、リサイクル業者はサプライヤーに割増料金を支払う必要がある場合があります。PPとPEの価格はほとんど変化していません。
ここ数日間の原油価格のバレル当たり4ドルの上昇にもかかわらず、中国のPPおよびPE製品の国内および輸出消費は依然として低迷しており、プライムペレットおよびリサイクルペレットの価格変動は最小限にとどまっています。
再生PETは、中国の主要港から米国や欧州市場に向けて1トン当たり1000ドル以上で販売されており、EUによる再生PETの使用義務化に先立って需要が増加したことにより、中国で再生PETがプライム樹脂よりも高い価格で初めて取引される状況となりました。
この市場力学の変化により、中国は西側諸国へのPETフレークの輸出国となり、現在ではリサイクル材料の方がプライム樹脂よりも高価となっています。
リサイクル材料の人気が高まる中、スクラッププラスチックの需要はここ数週間で若干増加しています。
PPおよびPEの価格は、エネルギーコストと原料価値の上昇を完全には反映していませんが、持続可能性への取り組みによって、特にボトルからのPETフレークに対する需要が高まっています。
家電製品の下流メーカーのほとんどは、環境持続可能性プログラムを支援し、環境的および社会的責任を負う企業としての企業ブランドイメージを高めるために、多くの場合プライム価格の90%を超える、より高い価格で購入することを選択しています。
持続可能性プログラムに取り組んでいる工場にペレットを高価格で供給しているリサイクル業者が、そうでないリサイクル業者よりも生き残るために有利な立場にあることは明らかです。リサイクル業者が将来的に存続できるかどうかは、リサイクル業者が持続可能性への取り組みと連携できるかどうかにかかっています。


