再生樹脂ペレット 価格情報 2024/1/5

2024年1月5日現在のプライム、リサイクル、スクラッププラスチックの市場更新情報です。

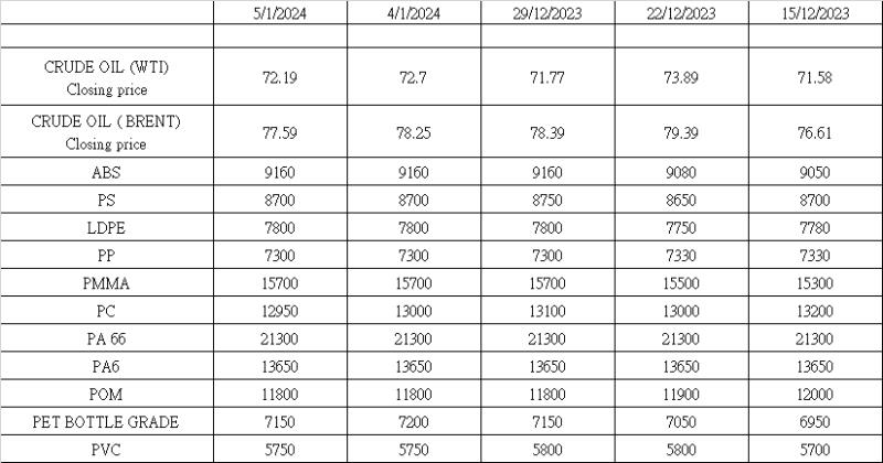
2024 年 1 月 5 日時点のプライムプラスチック、リサイクルプラスチック、スクラッププラスチックの市場最新情報:

※プライムバージン価格は、中国の主要なバージンポリマーサイトのVATを含む人民元建て価格
為替レートは1米ドル=7.1471中国元です。

中東の緊張激化とリビアの供給混乱を受けて、ニューヨーク市場の原油価格は73.81ドルにおちつきました。原油価格は米国のシェールガス供給急増、紅海地域でのフーシ派攻撃による困難に直面していること、そして世界的な需要の影響を受けています。

中国のプライム価格はPP、PE、PSのプロピレン、エチレン、スチレンの原料コストの低下により、依然として不安定な状況が続いています。

エチレングリコール、PET用PTA、フェノール、ポリカーボネート用アセトンなどの他の原料も影響を受けます。中国の旧正月休暇により資材購入が6週間停止され、紅海でのイエメンのフーシ派攻撃による運賃値上げの不安により、業界は流動性の逼迫に直面しています。

石油化学会社は当初値上げを発表しましたが、需要低迷を受けて結局は現金取引の割引に終始しました。地政学的な要因や供給過剰により、市況は不確実で悲観的です。

PE、PP、PET、PVCのリサイクル材料の需要は、旧正月の休業と海外からの注文不足により減速しています。旧正月後に備えて買いだめし、慎重にバーゲン価格での売り出しに慎重になる人もいるかもしれません。

ポリカーボネート、ナイロン、PMMA、POMなどのエンジニアリングプラスチックは、電気用途、自動車産業、配合工場に使用されており、消費者の需要と価格競争力に関連した需要の課題に直面しています。

過去数か月にわたる世界的なプライム価格の下落傾向は、リサイクル材料の価格に悪影響を及ぼしています。中国では、リサイクルPETフレークは輸出市場と国内市場の両方で約800ドルのFAS で十分な需要がありますが、原料ボトルのベール価格は600ドルを超えています。競争はどこでも厳しく、マージンはありません。

東南アジアへのスクラッププラスチック供給は、特にヨーロッパからの運賃の予期せぬ上昇により影響を受けています。発送が遅れ、運賃が高くなり、注文のキャンセルにつながっています。
サプライヤーは価格を下げることができず、顧客は船会社のサーチャージのために高い価格を支払う余裕がないため、世界的な価格のミスマッチがあります。

利益率が低い状況は、収集と分別、輸送、加工にかかるコストが高いことも原因と考えられます。 400ドルのFASでPEグレードAフィルムなどのオファーがありますが、アジアの顧客はCNFの価格のみしか受け入れることができません。
ボトルから再生したポリカーボネートは1トンあたり1,250ドルから1,700ドルで提供されていますが、アジアでは1トンあたり1,100ドル未満しか受け入れられません。困難な2023年に続き、2024年は新たな困難な年となりそうです。

Dr.Steveの顔写真

香港FUKUTOMI社のCEO
中国リサイクル協会のExective President
香港の大手プラスチックトレーディング会社を長年経営。
最盛期は月間1,500コンテナを取り扱い、世界中の廃プラスチックをリサイクルしてきた。
1年の半分以上を世界各国を飛び回り、プラスチックリサイクルマーケットを観察している。フルマラソンを走るマラソンランナー。

タイトルとURLをコピーしました